Revolutionizing Systematic Reviews: AIM Tool Enhances Screening Efficiency with Active Learning and Ensemble Methods
February 22, 2026
Active learning prioritizes publications by predicted relevance, using iterative retraining and relevance-based sorting to reduce screening effort across multiple case studies.
The work acknowledges limits of in-browser computation, the need for representative training subsets, and the potential for transitioning to full automation as future developments unfold.
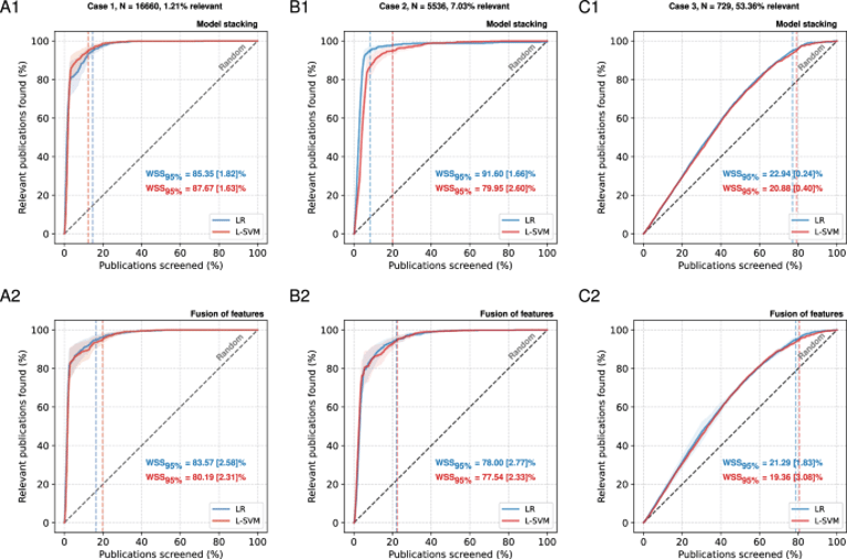
The tool uses multiple text vectorization methods (TF-IDF, LSA, SPECTER2, univBERT, Doc2Vec, all-MiniLM-L6-v2) and employs ensemble techniques like model stacking and feature fusion to boost performance.
Future directions point to automated full-text data extraction, more sophisticated sorting criteria, and systematic software comparisons to benchmark performance across tools.
Ensemble methods generally improve predictive performance over single-vectorization approaches, though they can raise computational cost and risk of overfitting in some settings.
Compared classifiers include LR, L-SVM, and SeqNN, with shallow learners often outperforming deep learners in unbalanced datasets, while deep learners perform better in balanced scenarios.
The AIM Review Tool combines active learning and nested cross-validated supervised learning to speed up systematic review screening and cut manual workload.
NCV-supervised learning trains models on a subset of screened publications and predicts relevance for the remaining unscreened records, aiming for robust generalization.
There are trade-offs between active learning and NCV-supervised learning: active learning prioritizes recall, while NCV can greatly reduce screening burden at the risk of some recall loss.
Documentation, tutorials, and a workshop are provided to ease user adoption, along with six real-world case studies used for benchmarking.
Summary based on 1 source
Get a daily email with more AI stories
Source

Nature • Feb 21, 2026
AIM review tool: artificial intelligence for smarter systematic review screening