Study Reveals H. pylori Eradication Lowers Long-Term Gastric Cancer Risk, Highlights Initial Spike Post-Treatment
July 1, 2025
A recent study highlights that eradicating Helicobacter pylori (H. pylori) is linked to a long-term decrease in gastric cancer incidence, particularly among high-risk individuals.
The research underscores the necessity of assessing gastric cancer risk in relation to gastric mucosal atrophy and intestinal metaplasia before and after H. pylori eradication.
Conducted in Japan, the study examines the risk of gastric cancer following H. pylori eradication therapy in patients with gastritis, gastric ulcers, and duodenal ulcers, with the therapy covered by national health insurance since 2013.
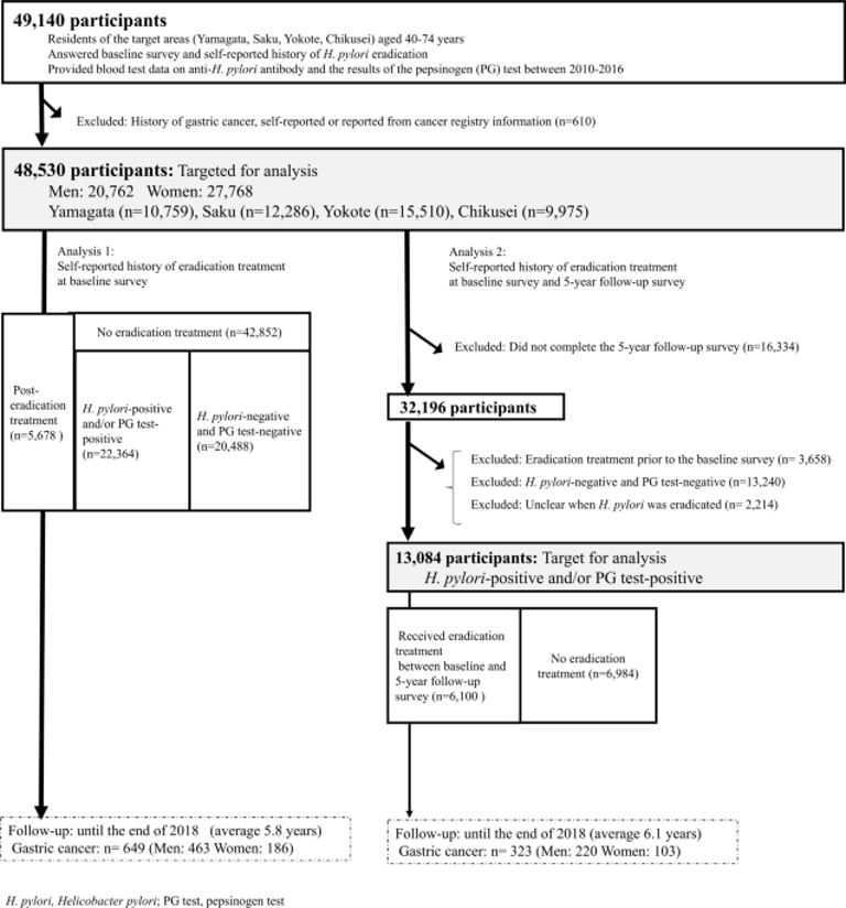
The study utilized a retrospective cohort analysis of the JMDC Claims Database, involving over 17 million beneficiaries and focusing on patients treated from early 2013 to late 2023.
From the initial cohort, 148,489 patients were categorized into groups: H. pylori associated gastritis, gastric ulcer, duodenal ulcer, and gastric and duodenal ulcer.
The cumulative probability of developing gastric cancer over a median follow-up of nearly four years was 0.44% for H. pylori associated gastritis, 0.54% for gastric ulcers, 0.22% for duodenal ulcers, and 0.26% for gastric and duodenal ulcers.
Among those who underwent eradication treatment, there was a temporary spike in gastric cancer risk immediately after treatment, with hazard ratios of 1.74 in the first year, which normalized to 0.44 after six years.
Patients with H. pylori associated gastritis and gastric ulcers exhibited a significantly higher risk of developing gastric cancer, with hazard ratios of 2.03 and 2.37, respectively, compared to those with duodenal ulcers.
Additionally, individuals who were H. pylori-positive or pepsinogen test-positive without a history of eradication faced a 5.89 times greater risk of gastric cancer compared to those who tested negative.
The study does acknowledge certain limitations, including reliance on self-reported eradication history and the potential for misclassification of treatment effects.
Potential mechanisms linking H. pylori infection to gastric cancer development include DNA methylation and genetic mutations caused by chronic infection.
Gastric cancer continues to be a major health concern, ranking as the fifth most common cancer globally in 2022 and was the leading cause of cancer-related deaths in Japan until 1998.
Summary based on 2 sources

